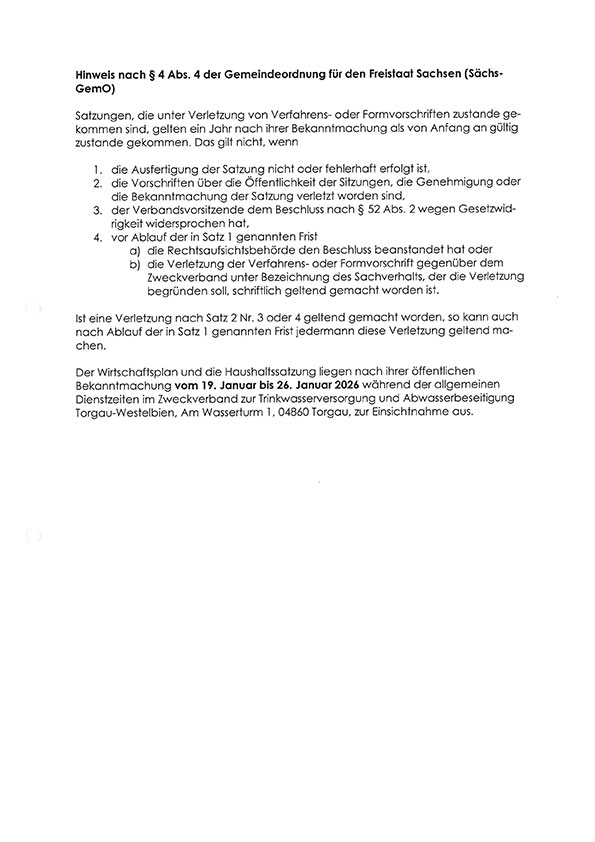
06 Januar 2026. Drucken Haushaltssatzungen 2026 anbei finden Sie die Bilder zur ab 01.01.2026 gültigen Haushaltssatzung Trink - und Abwasser 2026. Download Haushaltssatzung Trinkwasser 2026Download Haushaltssatzung Abwasser 2026 Anhänge herunterladen Haushaltssatzung Trinkwasser 2026 Haushaltssatzung Abwasser 2026